电容位移传感器是利用电容原理来测量物体位移,它就像是一个微小的“电子秤”,不过它秤量的不是重量,而是物体与传感器之间距离的微小变化。这种变化通过电容值的变动被精确捕捉并转化为可读取的信号,从而实现了对位移的精确测量。
电容位移传感器工作原理
电容结构:
- 电容器由两个导体(电极)和介质组成。在电容位移传感器中,电极通常是平行放置的,介质可以是空气或其他材料。
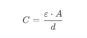
电容计算:
- 电容的计算公式为:

其中: - $C$ 是电容值。 - $ε$ 是介质的介电常数。 - $A$ 是电极的有效面积。 - $d$ 是电极之间的距离。
3.位移测量:
- 当测量物体的位移时,电极的相对位置会发生变化。位移的改变会导致电容的两个关键参数发生变化:
- 有效面积A:如果电极的形状和位置发生变化,接触面积将变化。
- 电极间距d:物体的移动会影响电极间的距离。
- 随着位移的变化,电容值也会变化。这种变化可以通过相关电路(如电压分压电路或振荡电路)进行检测。
输出信号(通常是电压或频率变化)可以与位移成线性或非线性关系,通过适当的转换和处理,可以得到位移的具体量值。
随着科技的不断进步,电容位移传感器正朝着更高精度、更小体积、更强抗干扰能力的方向发展。同时,随着物联网、大数据、人工智能等技术的融合应用,电容位移传感器将在更多领域展现其独特价值,为人类社会带来更加智能、高效的解决方案。

